지식임
Thermodynamics 열역학, 일상생활
2018년 11월 23일 금요일
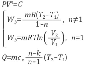
폴리트로픽 과정의 일과 열 heat and work of polytropic process
폴리트로픽 과정의 일과 열 heat and work of polytropic process
댓글 없음:
댓글 쓰기
최근 게시물
이전 게시물
홈
피드 구독하기:
댓글 (Atom)
최근 글
Blog Spot Articles
What to write on my Blog Spot? From now on I'll think more about this.
인기 글
댓글 없음:
댓글 쓰기